Data relating to: "Dynamic multistep uncertainty prediction in spatial geometry" (2020)

Date published

Free to read from

Authors

Grenyer, Alex
Schwabe, Oliver
ahmet Erkoyuncu, John
Zhao, Yifan

Supervisor/s

Journal Title

Journal ISSN

Volume Title

Department

Course name

ISSN

Format

Citation

Grenyer, Alex; Schwabe, Oliver; Erkoyuncu, John ahmet; Zhao, Yifan (2021). Data relating to: "Dynamic multistep uncertainty prediction in spatial geometry" (2020). Cranfield Online Research Data (CORD). Conference contribution. https://doi.org/10.17862/cranfield.rd.12906716

Abstract

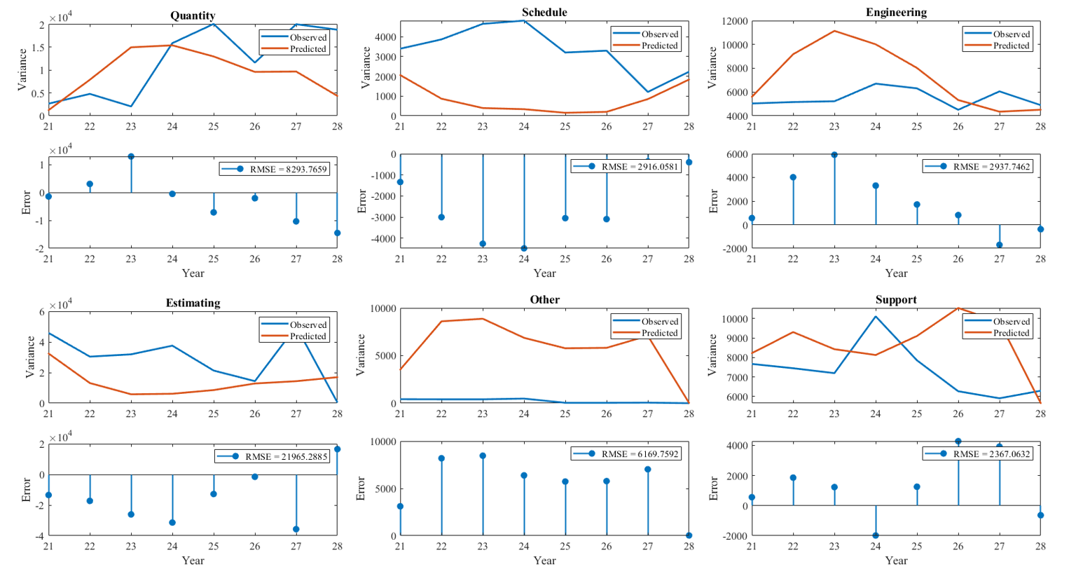
Excel file corresponding to training data and results in conference paper - applied in MATLABImages: Figures 1-4 as in conference paperVideo: 3D plot rotationVideo: Conference presentation

Description

Software Description

Software Language

Github

Keywords

'Uncertainty', 'forecast', 'LSTM networks', 'Spatial geometry', 'Manufacturing Engineering not elsewhere classified', 'Statistics'

DOI

10.17862/cranfield.rd.12906716

Rights

CC BY 4.0

Funder/s

Advanced Uncertainty Quantification Techniques for Maintenance Planning

Relationships

Resources